ORTOGRAFIA RIMA COM IDEOLOGIA
Classificar de “erro de português” o que é mero desvio da ortografia oficial revela o quanto as dúvidas e os deslizes nesse campo servem para organizar e sustentar todo um discurso belicoso.
LÍNGUA PORTUGUESAPORTUGUÊS BRASILEIROLINGUÍSTICAGRAMÁTICAORTOGRAFIA
Marcos Bagno
2/26/20269 min read
A internet foi tomada há poucos dias por imagens que mostravam um quadro branco de escola em que um policial tinha escrito as palavras “descançar” e “continêcia” no lugar de descansar e continência. Pelo fato de ser um policial em atuação numa dessas abjeções chamadas “escolas cívico-militares”, projeto de cunho assumidamente protofascista, os erros de grafia foram instrumentalizados por progressistas para desqualificar aquele policial — e de quebra toda a corporação — como ignorantes e, portanto, despreparados para trabalhar na educação. Duas palavras bastaram para justificar todos os ataques.
Venho estudando há bom tempo o recurso que se faz à escrita (e à pronúncia) das palavras como argumentos para sustentar polêmicas que são, de fato, ideológicas e se estendem para muito além das letras e dos sons. Se é alguém do nosso campo que comete o erro, não faltam explicações para justificá-lo (eu mesmo me empenho nisso desde o milênio passado). Como reagiríamos, por exemplo, se aqueles erros tivessem sido produzidos por uma professora primária humilde e mal paga de uma escola rural nordestina? Mas se o mesmo erro sai (como se dizia antigamente) da pena ou dos lábios de alguém que detestamos, não há justiça nem perdão, muito menos o benefício da dúvida: é execução sumária diante do pelotão da norma. Tudo muito sociologicamente compreensível, e volta e meia me aparecem pedidos para “abençoar” atitudes desse tipo. Não sou detergente líquido, não tenho nenhuma obrigação de ser neutro. Dependendo da vítima (se for, por exemplo, ex-juiz corrupto com doutorado em Direito e hoje senador fascista), a bênção sai carimbada e com firma reconhecida.
Vamos tentar, no entanto, para finalidades didáticas, levantar o véu ideológico nada sutil que envolve esses casos ortográficos (tarefa dificílima) para entender as causas das confusões que muitas pessoas cometemos ao escrever. Digo cometemos porque há poucos dias escrevi “encherimento” em vez de enxerimento (para um jornalista!) e usei como desculpa o dia e o horário (sexta-feira, final da noite).
É a história da língua e as dinâmicas sociais que nos oferecem as explicações.
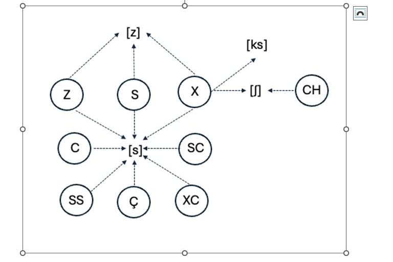
Em línguas com uma ortografia com um bom grau de racionalidade (como o português), as possibilidades de errar na hora de escrever são previsíveis e até catalogáveis. Quem trabalha com alfabetização sabe que elas giram em torno de alguns núcleos específicos e não se surpreende quando aparecem na produção escrita de aprendizes. Em português, a maior probabilidade de equívoco ortográfico está sem dúvida na representação dos sons [s] (aço, asso), [z] (rosa, azo) e [ʃ] (xá, chá). Afinal, para [s] temos S, -SC-, -SS-, -Ç-, CE/CI, X/XC, -Z (como em juiz). Para [z] temos Z, -S-, EX- (como em exato). Para [ʃ] temos X e CH. Não admira que alguém escreva “cançar”, com Ç, já que existe canção, por exemplo: por que cansar com S e canção com C? E o que dizer da trinca clássica seção, sessão e cessão? Senta que lá vem história, uma história que começa no latim.
As grafias possíveis para o som [s] são as mais variadas. No latim clássico, a letra S representava sempre o som [s], a dupla SS representava o mesmo som [s] mas com o dobro da duração. De fato, em latim clássico, grego clássico, italiano e outras línguas, uma consoante duplicada não é mero capricho ortográfico ou vontade de parecer chique (Kammilla, Carollynny, Jhonnatthann): elas são escritas dobradas porque têm pronúncia dobrada — em italiano, capello é ‘cabelo’, cappello é ‘chapéu’, e é a duração da pronúncia do [p] que distingue as palavras. Essa herança latina é que nos leva a representar o som [s] na grande maioria dos casos com as letras S e SS. Com o tempo, o SS passou a soar simples e o -S- entre vogais passou a soar [z]: casa, rosa, uso. Por isso, no que diz respeito à pronúncia, as regras do S são simples e invariáveis: o S tem som de [s] em todas as posições, menos entre vogais, onde soa [z]; o dígrafo SS só ocorre entre vogais e se pronuncia [s]. Se ficássemos nisso seria o paraíso ortográfico!
Vejamos agora de que modo os dígrafos CE/CI e a letra Ç vieram a representar o mesmo som [s]. Em latim, a letra C se pronunciava sempre e invariavelmente [k]. O nome do orador Cícero se pronunciava [kikeɾo]. Com o tempo, e por razões articulatórias, as sílabas CE/CI passaram a ser pronunciadas [tse]/[tsi]. Mil anos atrás, em futuras terras portuguesas, o nome Cícero soava [tsitseɾo], e o mesmo valia para cedo [tsedo], cidade [tsidade], cesta [tsesta]. Mais tempo passou e o [ts] se simplicou em [s], o que explica nossa pronúncia atual de cedo, cidade e cesta. Para preservar a aparência da palavra conforme sua origem latina, manteve-se a grafia CE/CI (seria impensável, para os primeiros formuladores da ortografia portuguesa, no Renascimento, apegados à cultura clássica, escrever Sísero, sedo, sidade, sesta).
Quanto ao Ç, também teve uma pronúncia [ts] no passado da língua e foi usado para representar esse som diante das outras vogais (A, O, U). Os grupos latinos -ti- e -di- seguidos de A, O, U estão na origem do uso de C. Em latim, -ti- e -di- se pronunciavam exatamente [ti] e [di], mas a vogal [i], por ser palatal, palataliza a consoante que a precede, o que explica por que a maioria de nós no Brasil pronunciamos [dʒia] e [tʃia] o que se escreve dia e tia. Na evolução do latim, aqueles -ti- e -di- passaram a soar [ts], de modo que o latim pretiu- se tornou preço, pronunciado [pɾetso], e o verbo audio se tornou ouço, pronuncia [owtso]. Assim como CE/CI deixaram de ser pronunciados [tse]/[tsi], também o Ç se simplificou em [s], o que explica o modo como dizemos hoje preço, ouço, começa, ação etc. Setecentos anos atrás, era fácil saber se a palavra se escrevia com SS ou Ç porque a pronúncia era diferente: paço [patso], passo [paso].
Os grupos escritos SCE/SCI em latim soavam [ske]/[ski], já que, como vimos, o C tinha sempre o som [k]. O verbo nascere se pronunciava portanto [naskeɾe]. Quando o [k] de SC estava diante de [e] e de [i], também acabou sendo pronunciado [ts] e, mais uma vez, a simplificação levou nascer de [nastseɾ] para [naseɾ], que é como pronunciamos hoje este verbo. Em Portugal, o -SC- diante de E e I se pronuncia como o X de xixi, de modo que lá ouvimos [naʃeɾ]. Na fala carioca, ao menos da minha geração para trás, é (ou era) comum a inserção de um [ı] antes do -SC-, [naıseɾ], talvez por influência da grande comunidade portuguesa do Rio. Infelizmente, os formuladores da ortografia oficial mantiveram mais de 50 verbos com a terminação -ESCER, diretamente etimológica, enquanto mais de 200 terminam em -ECER, o que nos dá aquele trabalho de lembrar que amanhecer tem escrita diferente de florescer.
Em latim, a letra X tinha uma só pronúncia, o [ks] de táxi. Essa é a pronúncia que se conserva em palavras de uso erudito, técnico, científico etc.: flexível, conexo, axial, fixo… Observe-se que do latim fluxu- temos duas palavras: uma de formação popular (frouxo) e outra de formação erudita (fluxo). Nas palavras de formação popular, o X soa como em xixi, o que explica pares como frouxo/fluxo ou eixo/axial. O X tem som de [z] principalmente nas palavras em que aparece o grupo inicial ex- (uma preposição que se tornou prefixo para formação de palavras): exímio, exercício, exato, exultar, exonerar etc., mas também em hexágono — em outras palavras formadas com hexa- (hexacampeão) a pronúncia do X pode ser [z], [gz] ou [ks]. Em poucas palavras o X soa como [s]: próximo, máximo, sintaxe (embora pessoas de fora dos estudos linguísticos gostem de pronunciar com [ks]). Também se pronuncia [s] o grupo exc- como em excesso, exceção, excitar etc. Nossa tendência geral é pronunciar o X como em xixi. A pronúncia [ks] é reservada para termos técnicos, literários etc. ou para empréstimos de outras línguas. Ao longo da história, como se viu acima e vamos ver mais abaixo, as pessoas foram simplificando a pronúncia de consoantes complexas. Outra origem do X em português é o grupo latino -sc-: miscere > mexer; pisce- > peixe; fasce-> feixe etc.
Em latim não existia o som [z] de zinco. Os romanos usavam a letra Z para transcrever palavras gregas. Em grego antigo, o Z soava [dz] como em desde ou [dz]. Quando se começou a escrever na língua que viria a se chamar português, a letra Z foi adotada para representar a pronúncia [dz]: o verbo fazer, naquela época, se dizia [fadzer]. De novo, com a simplificação de uma consoante complexa, o resultado foi fazer, como pronunciamos hoje. No século 13, a pessoa não hesitava na hora de escrever coser ou cozer, porque as duas palavras tinham pronúncias diferentes.
Chegamos por fim ao dígrafo CH. Sua origem está numa mudança sonora muito radical. Os grupos latinos cl-, fl- e pl- se transformaram em [tʃ] (o som de tcheco, por exemplo), escrito com CH. Assim, clave- > chave, flagrare > cheirar, implere > encher. Seguindo a tendência à simplificação, [tʃ] passou a [ʃ], e é assim que hoje pronunciamos chave, cheirar e encher.
Se hoje nos confundimos no momento de escrever palavras com os sons [s], [z] e [ʃ], é porque as gerações sucessivas de falantes, ao longo do tempo, simplificaram consoantes complexas, de modo que sons antes diferentes passaram a ser escritos com letras iguais: aço e asso, coser e cozer, apreçar e apressar etc. E a ortografia, por mais que seja reformada ao longo dos séculos, continua apegada à etimologia das palavras, num esforço permanente de preservar a aparência “latina” da língua.
As normas ortográficas derivam de dinâmicas sociais mais amplas e complexas do que a mera representação dos sons pela escrita. Tem muito de político, de cultural, de social e de ideológico nelas. A ortografia do francês, uma das mais obtusas e abstrusas do mundo, foi definida no auge do regime absolutista e da separação rígida entre as classes sociais: só as pessoas da elite e, por conseguinte, com acesso à instrução formal e desobrigadas de trabalhar, poderiam ter tempo para se dedicar ao aprendizado árduo de uma escrita abarrotada de penduricalhos inúteis de modo a exibir, pelo domínio dessas regras, sua distinção social. Não bastava saber escrever, o que já era um privilégio: era preciso saber escrever segundo regras complicadas que serviam como símbolo daquela distinção. Quando, em 1910, a monarquia foi deposta em Portugal e se proclamou a república, a modernização do regime político estimulou a modernização da ortografia, o que se deu em 1911 e levou ao abandono de velharias como y, th, ph, rh, th, œ, letras dobradas e outras inutilidades. Na década de 1920, o presidente turco Mustafa Kamal (chamado Atatürk, “pai dos turcos”) decidiu, em nome de um projeto de ocidentalização do país, substituir a escrita de origem árabe usada para escrever a língua turca por uma nova ortografia que usava o alfabeto latino. Com o mesmo intuito de se inserir na globalização econômica atual, o governo do Cazaquistão está aos poucos implementando o uso do alfabeto latino em lugar do cirílico, que remonta ao período em que o país integrava a extinta União Soviética.
A ortografia do latim clássico era altamente racional. Essa racionalidade foi seguida pela ortografia do italiano — uma falante desta língua, quando ouve uma palavra desconhecida, tem quase 90% de chance de deduzir corretamente como se escreve. A ortografia do romeno, inspirada na do italiano, também apresenta um grau elevado de correspondência letra-som. Nessas duas línguas não existe, por exemplo, o H inicial, de modo que nosso humano se escreve umano em italiano e uman em romeno. O italiano dispensou completamente a letra X.
As demais línguas românicas oficiais (catalão, espanhol, galego, português) vão nessa mesma linha, e as dúvidas costumam se agrupar em alguns núcleos específicos (como vimos aqui com os sons [s], [z] e [ʃ] do português). Só mesmo o francês, cuja grafia se mantém quase inalterada há 400 anos, escapa desse sentimento de solidariedade a quem precisa escrever. A Revolução de 1789 derrubou a Bastilha, guilhotinou a aristocracia, mas manteve intacta a ortografia do velho regime! Uma lástima...
Apesar do português ter uma ortografia com um bom grau de racionalidade, as exceções a este aspecto servem como — mais um — instrumento de discriminação social e de instrumentalização ideológica do conhecimento a serviço das disputas de poder numa sociedade altamente hierarquizada, marcada por desigualdades gritantes em todos os aspectos da vida, inclusive no direito ao acesso à cultura letrada. Até mesmo o uso da expressão “erro de português” para o que é mero desvio da ortografia oficial revela o quanto as dúvidas e os deslizes nesse campo servem para organizar e sustentar todo um discurso belicoso. No ar sufocante das ideologias, basta uma cedilha fora do lugar para um muro inteiro desabar sobre a cabeça de uma pessoa. Ainda mais nestes dias de ódio cultivado, cancelamentos sumários e violência enaltecida como a maior das virtudes.
